What is creatine?
Creatine is an amino acid derivative constructed from arginine, glycine, and methionine. It gained widespread popularity in the early 1990's among athletes and gym-goers, and remains one of the most popular supplements. Among strength and power athletes, its use can get as high as 80%.1
It is produced endogenously by the body in the kidneys, liver, and pancreas at a rate of about 1 gram per day. Creatine can also be obtained from food (particularly red meat), although this is rather small, usually amounting to 1g total in an average omnivorous diet, making the total amount of natural creatine of around 2g per day, with 95% of it being stored in skeletal muscle, and roughly two thirds of that being stored as phosphocreatine (PCr), while the remaining amount of creatine is stored as free creatine.2 Creatine supplementation increases creatine content of muscles by around 20%, reaching a limited saturation of 150-160 mmol/kg.3
Creatine is one of the most extensively studied and scientifically validated supplements for athletes – amounting to hundreds of studies – with 70% of them reporting a significant improvement, and the rest generally reporting non-significant gains.4 It has been regularly shown to increase strength and fat-free mass, with a typical benefit of around 5% to 15%.5 Usually, there is a greater benefit in maximum reps when compared to 1RM. One meta-analysis showed that individuals ingesting creatine combined with resistance training, obtained on average an 8% increase in 1RM strength and a 14% increased performance in maximum reps.6
How does it work?
Creatine has a crucial role in energy metabolism as phosphocreatine (PCr). It's the base to create adenosine triphosphate (ATP) by rephosphorylating adenosine diphosphate (ADP). This is essential in short-duration, high-intensity exercise. The ability of rephosphorylatin ADP depends on an enzyme called creatine kinase, plus the already stored PCr. When the latter gets depleted, high-intensity performance suffers. PCr levels decrease anywhere from 30% to 80% of resting levels, depending on the duration.7 During repeated bouts, it gets almost completely depleted.8
The effect is more pronounced in anaerobic, high-intensity activities (under 30 seconds). It can still have positive effects for up to 150 seconds, but the evidence isn’t as strong the more it shifts to endurance.9
Besides ATP renewal, there are other potential mechanisms involved, ranging from satellite cell proliferation, myogenic transcription factors, and insulin-like growth factor-1 signalling10. There is also speculation that it may change gene expression.11
Growth factor (IGF-1) concentration has shown to be increased, and in at least in one study, changes in lean mass were positively correlated with modified levels of intramuscular IGF-1.12

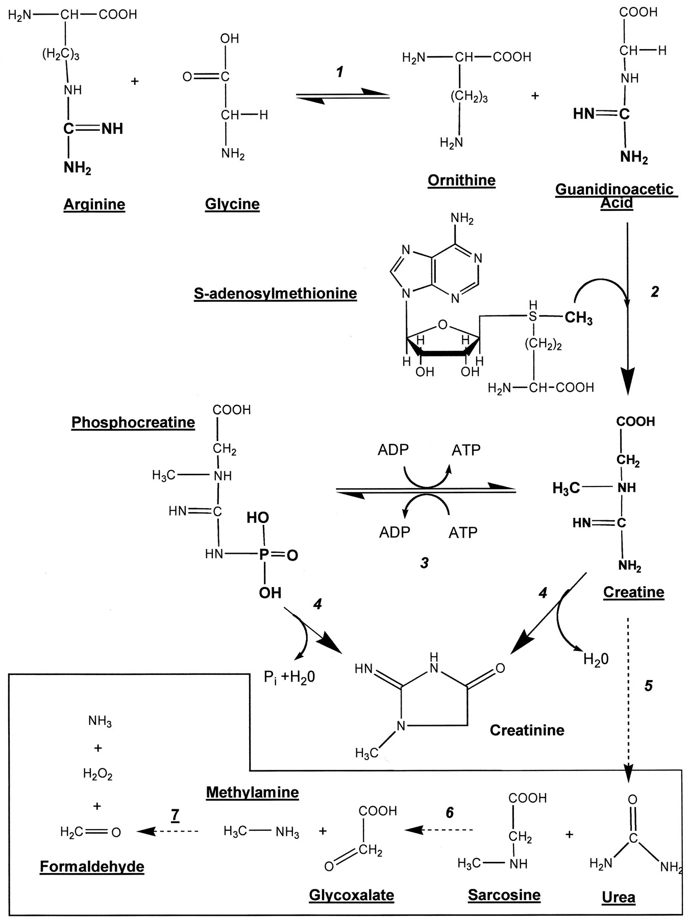
Pathway of creatine metabolism - Persky & Brazeau, 2001
Dosing
The most common dosing protocol is a loading period of 3-5 days with 20 to 25 g/d followed by a 3-5 g maintenance dose. When dosing for bodyweight, around 0.3 g/d/kg for loading and 0.03 g/kg/d for maintenance has been used. When using a loading protocol, it’s recommended to split the dose into 3 or 4 smaller doses, otherwise, it can cause diarrhoea and nausea.
When it comes to loading, there are two somewhat competing ideas – some think that loading is necessary, and some think that loading is useless. Neither is quite correct. If you don’t use a loading protocol, you will still reap all the benefits – the only disadvantage being that it takes a longer time to have saturated levels. It will only start being effective in a few weeks, compared to a few days if you front-load. So, if you want to use loading to get the effects faster, that’s fine. And if you don’t want to load and don’t mind taking longer to reap the benefits, that’s fine as well. I personally recommend loading, because I don’t see the point of waiting. It’s also not more expensive, as I’ve seen argued, since the increased dosage is compensated by receiving the benefit earlier, and that’s what you actually care about.
Some people wonder if creatine needs to be cycled. This is a common protocol with performance-enhancing drugs, however, there is no reason to cycle creatine as there are no accumulative negative side effects of supplementation. It also doesn't decrease in effectiveness over time. While creatine intake appears to downregulate the creatine transporter in animals, this doesn't seem to be the case in humans.13 Some advocate taking a week off or more per year of all supplements, and if you want to do that, that’s fine, but I personally don’t think it’s necessary.
ENHANCING CREATINE
There may be some advantage to consuming simple carbohydrates along with creatine, at least during the period of saturation. One study found that accumulation was increased by 60% when 5g of creatine was ingested with 93g of simple carbohydrates, compared with taking creatine by itself.14
Another study found that body creatine retention of 5 g CM was increased by 25% with the addition of 50 g of protein and 47 g of carbohydrate, or 96 g carbohydrate when compared to a placebo treatment of 5 g carbohydrate.15
However, this doesn’t automatically mean it will translate to performance. In one study with 10 international caliber swimmers, it made no difference.16
Nevertheless, it might still be worth a try, especially given that it likely just requires athletes to take it with their pre or post workout meals.
WATER RETENTION
Creatine supplementation increases body mass by about 1 to 2 kg in the first week of loading.17 This initial weight gain is simply water, from the enhanced intracellular osmotic gradient, causing water to fill the cell.18
However, long-term studies have shown increases in fat-free mass and/or muscle contractile protein synthesis with no disproportionate increase in total body water19. So, the extra mass beyond the initial gain is in fact muscle mass, not added water retention.
For those worried about making weight, the wash-out period is around 4 weeks20. There is an argument to be made to not discontinue supplementation, as you may lose the performance benefit. However, given that creatine’s ergogenic effect is more long-term, as it actually causes extra muscle mass, I believe cessation of creatine supplementation likely doesn’t cause a performance drop. One study seems to support this, as withdrawal from creatine had no effect on the rate of strength, endurance, and loss of lean tissue mass with 12 weeks of reduced-volume training21. Although the sample was small, and it’s the only study to my awareness. If you don’t want to risk it, then continue with supplementation throughout your competition preparation.
NON-RESPONDERS
Creatine doesn't seem to work for some people, the so called "non-responders", which account for 20-30% of individuals22. This is hypothesized to be caused by the creatine pool already being saturated, although genetic variations in creatine transport capacity seem to play a role as well23.
Those who have lower muscle creatine stores are more likely to experience muscle storage increases of 20-40%, while those with relatively high muscle stores may only increase half that amount. Creatine content increase is correlated to performance increase.24-6
This is likely because of their diet, which may contain sources that already provide a high amount of creatine. One study shows that 225g (8oz) of beef contains around 2g of creatine, which is quite significant27. These were values for raw meat, but it seems cooking only degrades creatine up to 30%28.
In one study, out of 11 subjects, 3 didn't respond to supplementation. Muscle biopsies were made, and the non-responders had a higher initial level of total muscle creatine content and less percentage of type II fibers.29
Cognitive benefits
Creatine also has a vast number of cognitive benefits. Higher brain creatine is associated with improved neuropsychological performance, and there are deficiency symptoms that result in mental retardation (although it’s very rare).30
Studies have demonstrated that impaired cognitive processing can be improved with creatine supplementation. For this, the dose is usually higher, ranging from 20 to 40 g/d, for younger and older adults respectively. It has also shown some potential for neurodegenerative diseases in animal models, and work is being done on Parkinson’s disease in humans.31-4
There is also evidence of it being beneficial for healthy older adults – improving forward number and spatial recall, long-term memory, and being potentially useful for traumatic brain injuries, reducing headaches, dizziness, and fatigue.35-6
Creatine for vegetarians
Since the main source of creatine is from animal products, it’s a reasonable assumption that creatine supplementation would have a greater benefit, and it seems that’s the case. In one study, vegetarians gained 2.4 kg of lean mass, compared to 1.9 kg of the non-vegetarian group.37
The cognitive benefits that we covered previously also seem to be boosted in vegetarians. This is somewhat odd, considering that while it’s known that vegetarians have lower tissue amounts of creatine (measured directly via muscle biopsy) than omnivores38, brain creatine content doesn’t seem to be affected by creatine intake, suggesting it’s supplied by its endogenous production.39
Nevertheless, in one study, 128 adult females were separated into those who were and were not vegetarian, and vegetarians showed improved memory with supplementation.40 In another study, vegetarians showed improvement in tasks that required speed of processing, like working memory and fluid intelligence (abstract reasoning).41
Forms of creatine
There are countless creatine forms on the market. The most popular being creatine monohydrate, creatine phosphate, creatine citrate, creatine pyruvate, creatine ethyl ester, or creatine nitrate.
Creatine monohydrate is by far the most studied and proven to be both safe and effective. Most forms don’t offer any advantage and are often significantly more expensive42-43. Ironically, despite being advertised as better, some are actually worse.44
The only advantage of some alternative creatine forms is increased solubility and bioavailability, which may alleviate gastrointestinal discomfort.45
Safety
Creatine is an incredibly safe supplement, in so far as any supplement can be safe.
The most common concern is renal function. While creatine does slightly raise creatinine levels, this isn’t accompanied by any negative side effects.46 In healthy individuals, creatine is safe to consume with an appropriate dosage.47-51 In people with a history of renal disease or those taking nephrotoxic medications, there is an increased risk of renal dysfunction, and supplementation is likely not recommended.
Most studies are done short-term, which have caused some people to wonder about long-term effects, but even with supplementation up to 4 and 5 years, it seems to have no adverse health effects.52-3
Beyond the basic safety concerns, there is the worry of creatine causing baldness. Creatine may increase the rate of balding in men with Male Pattern Baldness, since creatine increases DHT, which is implicated in the pathology and a receding hairline.54 One study found an increase of DHT of almost 50% after 3 weeks of supplementation.55
However, it’s worth remembering that young male baldness is heavily genetic.56 If you aren’t prone to baldness, it’s unlikely to affect you. And even if you are, there is no direct evidence of it actually making baldness worse, although there is at the very minimum a mechanism for it. In the end, I wouldn’t worry too much about it unless you’re very concerned about your hair, or you’re genetically prone to it. But at the end of the day, it’s up to you to consider if it’s worth the risk.
Timing
When should you take creatine? The simplest answer is that it doesn’t matter too much, because creatine’s effects aren’t acute. No matter when you take it, you will saturate your skeletal muscle with creatine and reap the benefits.
Nevertheless, it doesn’t mean that there aren’t benefits of a specific timing. It has been hypothesized and recommended for a long time that you should take creatine either before or after your workout.
In one study, 19 healthy recreational male bodybuilders were separated into two groups: 5g of creatine pre-workout or 5g of creatine post-workout.57 It concluded: “The results from this study suggest that consuming creatine monohydrate post exercise may be superior to consuming it pre exercise with regards to improving body composition” Although it did not reach statistical significance.

Image credit: http://suppversity.blogspot.pt
In another study, subjects were split into 3 groups: creatine pre-workout, post-workout, and placebo. The post-workout group saw significantly greater muscle gains than the placebo group, while the pre-workout didn’t.58 However, the difference between before and after supplementation didn't reach statistical significance.

Change (post-training mean – pre-training mean) in lean tissue mass for creatine before (CR-B), creatine after (CR-A), and placebo (PLA) groups.
The evidence for the benefit of taking creatine post-workout isn’t strong, but it’s at least indicative. Given that taking your creatine post-workout compared to any other time of the day is unlikely to add any extra effort, it might be wise to do so, and I recommend it to my clients.
Creatine brands
Generally, the supplement brands don’t matter too much. What matters is the main ingredient, and the benefits will be the same regardless of what brand.
The only concern over supplement brands is impurities and inaccurate dosing. For this reason, many recommend buying Creapure. It’s made in Germany by AlzChem, and undergoes a rigorous testing process to make sure it’s free of impurities and by-products like CRN (creatinine), DCD (dicyandiamide), and thiourea. It’s a bit more expensive, but at least you have some guarantee of quality. Otherwise, they may be made in third world countries, with likely little concern about quality. Although this is a concern even in modern countries.
Alternatively, you can check individual products. Labdoor is an independent company that tests supplements. They send a sample of each product to an FDA-registered laboratory for a detailed chemical analysis, which includes measurements of active ingredients and potential contaminants. Here are the top 5 products out of the 25 they analyzed:

You can check the full list here: https://labdoor.com/rankings/creatine
Caffeine interaction
Some have claimed that caffeine counteracts creatine. For example, in one study, the addition of caffeine to creatine blunted intermittent force production, despite not altering muscular creatine content.59 Although its negative effects don’t seem to be consistent.60-1
A recent study last year with mice concluded that "caffeine administration does not impair skeletal muscle load-induced mTOR signalling, protein synthesis, or muscle hypertrophy”.62 and in another study, comparing creatine and caffeine with the combination of both, found that caffeine potentiates the effects of creatine during a physical exercise.63

In a 2015 review, the authors recommended avoiding chronic, high-dose caffeine intake to maximize the ergogenic effect of creatine supplementation.64 If you want to play it safe until the evidence solidifies, that may be the best option.
Conclusion
Creatine is close to the best supplement you can possibly take. It’s very well understood, cheap, safe, and effective. A very rare combination in almost all sports supplements available. Since the article is a bit long, here at some take-home points:
- Creatine works by enhancing the ATP-PCr energy system by better maintaining muscle ATP levels
- Creatine has been shown repeatedly to be both safe and effective
- Not everyone responds to supplementation
- Beyond helping strength and body compositions, there also seems to be cognitive benefits
- Creatine monohydrate is the best and cheapest form
- Dosage should be around 20g for 5 days when loading, and 5g afterwards
- There is no inherent need to cycle it
- Might be best to avoid taking with high doses of caffeine
- Taking creatine post-workout and/or with carbohydrates may have an advantage
References
1) Rawson ES, Volek JS. Effects of creatine supplementation and resistance training on muscle strength and weightlifting performance. J Strength Cond Res. 2003 Nov;17(4):822-31. Review.
2) Branch JD. Effect of creatine supplementation on body composition and performance: a meta-analysis. Int J Sport Nutr Exerc Metab. 2003 Jun;13(2):198-226.
3) Kreider RB. Effects of creatine supplementation on performance and training adaptations. Mol Cell Biochem. 2003 Feb;244(1-2):89-94. Review. PubMed PMID: 12701815.
4) LaBotz M, Smith BW. Creatine supplement use in an NCAA Division I athletic program. Clin J Sport Med. 1999 Jul;9(3):167-9.
5) Febbraio MA, Flanagan TR, Snow RJ, Zhao S, Carey MF. Effect of creatine supplementation on intramuscular TCr, metabolism and performance during intermittent, supramaximal exercise in humans. Acta Physiol Scand. 1995 Dec;155(4):387-95.
6) Balsom PD, Söderlund K, Ekblom B. Creatine in humans with special reference to creatine supplementation. Sports Med. 1994 Oct;18(4):268-80. Review.
7) Alghannam, A. F. (2012). Metabolic Limitations of Performance and Fatigue in Football. Asian Journal of Sports Medicine, 3(2), 65–73.
8) McCartney N, Spriet LL, Heigenhauser GJ, Kowalchuk JM, Sutton JR, Jones NL. Muscle power and metabolism in maximal intermittent exercise. J Appl Physiol (1985). 1986 Apr;60(4):1164-9.
9) Branch JD. Effect of creatine supplementation on body composition and performance: a meta-analysis. Int J Sport Nutr Exerc Metab. 2003 Jun;13(2):198-226.
10) Saremi A, Gharakhanloo R, Sharghi S, Gharaati MR, Larijani B, Omidfar K. Effects of oral creatine and resistance training on serum myostatin and GASP-1. Mol Cell Endocrinol. 2010 Apr 12;317(1-2):25-30. doi: 10.1016/j.mce.2009.12.019. Epub 2009 Dec 22. and Hespel P, Derave W. Ergogenic effects of creatine in sports and rehabilitation. Subcell Biochem. 2007;46:245-59. Review.
11) Burke DG, Candow DG, Chilibeck PD, MacNeil LG, Roy BD, Tarnopolsky MA, Ziegenfuss T. Effect of creatine supplementation and resistance-exercise training on muscle insulin-like growth factor in young adults. Int J Sport Nutr Exerc Metab. 2008 Aug;18(4):389-98.
12) Deldicque L, Atherton P, Patel R, Theisen D, Nielens H, Rennie MJ, Francaux M. Effects of resistance exercise with and without creatine supplementation on gene expression and cell signaling in human skeletal muscle. J Appl Physiol (1985). 2008 Feb;104(2):371-8. Epub 2007 Nov 29.
13) Theodorou AS, Havenetidis K, Zanker CL, O'Hara JP, King RF, Hood C, Paradisis G, Cooke CB. Effects of acute creatine loading with or without carbohydrate on repeated bouts of maximal swimming in high-performance swimmers. J Strength Cond Res. 2005 May;19(2):265-9.
14) Tarnopolsky M, Parise G, Fu MH, Brose A, Parshad A, Speer O, Wallimann T. Acute and moderate-term creatine monohydrate supplementation does not affect creatine transporter mRNA or protein content in either young or elderly humans. Mol Cell Biochem. 2003 Feb;244(1-2):159-66
15) Kreider RB. Effects of creatine supplementation on performance and training adaptations. Mol Cell Biochem. 2003 Feb;244(1-2):89-94. Review. PubMed PMID: 12701815.
16) Steenge GR, Simpson EJ, Greenhaff PL. Protein- and carbohydrate-induced augmentation of whole body creatine retention in humans. J Appl Physiol (1985). 2000 Sep;89(3):1165-71.
17) Green AL, Hultman E, Macdonald IA, Sewell DA, Greenhaff PL. Carbohydrate ingestion augments skeletal muscle creatine accumulation during creatine supplementation in humans. Am J Physiol. 1996 Nov;271(5 Pt 1):E821-6.
18) Volek, JS., and W.J. Kraemer. Creatine supplementation: Its effects on human muscular performance and body composition. J: Strength and Cond. Rest. 10(3):200-210. 1996
19) Balsom PD, Ekblom B, Sijderlund K, Sjodin B, Hultman E. Creatine supplementation and dynamic high-intensity intermittent exercise. Scand J Med Sci Sports 1993: 3: 143-149.0 1993 Munksgaard
20) McKenna MJ, Morton J, Selig SE, Snow RJ. Creatine supplementation increases muscle total creatine but not maximal intermittent exercise performance. J Appl Physiol (1985). 1999 Dec;87(6):2244-52.
21) Candow DG, Chilibeck PD, Chad KE, Chrusch MJ, Davison KS, Burke DG. Effect of ceasing creatine supplementation while maintaining resistance training in older men. J Aging Phys Act. 2004 Jul;12(3):219-31.
22) Greenhaff, P. L. (1996). Creatine supplementation: recent developments. British Journal of Sports Medicine, 30(4), 276–277.
23) Tarnopolsky MA. Caffeine and creatine use in sport. Ann Nutr Metab. 2010;57 Suppl 2:1-8. doi: 10.1159/000322696. Epub 2011 Feb 22. Review.
24) Kreider RB. Creatine in Sports. In: Antonio J, Kalman D, Stout J, et al, editor. Essentials of Sport Nutrition & Supplements. Humana Press Inc., Totowa, NJ; 2007.
25) Greenhaff PL, Casey A, Short AH, Harris R, Soderlund K, Hultman E. Influence of oral creatine supplementation of muscle torque during repeated bouts of maximal voluntary exercise in man. Clin Sci (Lond). 1993 May;84(5):565-71.
26) Greenhaff PL, Bodin K, Soderlund K, Hultman E. Effect of oral creatine supplementation on skeletal muscle phosphocreatine resynthesis. Am J Physiol. 1994 May;266(5 Pt 1):E725-30.
27) Tarnopolsky, M. A. (2010). Caffeine and Creatine Use in Sport. Annals of Nutrition and Metabolism, 57(s2), 1–8. 28) Mora L, Sentandreu MA, Toldrá F. Effect of cooking conditions on creatinine formation in cooked ham. J Agric Food Chem. 2008 Dec 10;56(23):11279-84.
29) Syrotuik DG, Bell GJ. Acute creatine monohydrate supplementation: a descriptive physiological profile of responders vs. nonresponders. J Strength Cond Res. 2004 Aug;18(3):610-7
30) Mercimek-Mahmutoglu S, Salomons GS. Creatine Deficiency Syndromes. 2009 Jan 15 [Updated 2015 Dec 10]. In: Adam MP, Ardinger HH, Pagon RA, et al., editors. GeneReviews® [Internet]. Seattle (WA): University of Washington, Seattle; 1993-2018.
31) Smith RN, Agharkar AS, Gonzales EB. A review of creatine supplementation in age-related diseases: more than a supplement for athletes. F1000Res. 2014 Sep 15;3:222. doi: 10.12688/f1000research.5218.1. eCollection 2014. Review.
32) Rawson ES, Venezia AC. Use of creatine in the elderly and evidence for effects on cognitive function in young and old. Amino Acids. 2011 May;40(5):1349-62. doi: 10.1007/s00726-011-0855-9. Epub 2011 Mar 11. Review.
33) Beal MF. Neuroprotective effects of creatine. Amino Acids. 2011 May;40(5):1305-13. doi: 10.1007/s00726-011-0851-0. Epub 2011 Mar 30. Review.
34) NET-PD LS-1, A Multicenter, Double-Blind, Parallel Group, Placebo Controlled Study of Creatine in Subjects With Treated Parkinson's Disease (PD) Long Term Study (LS-1).
35) Yazigi Solis M, de Salles Painelli V, Giannini Artioli G, Roschel H, Concepción Otaduy M, Gualano B. Brain creatine depletion in vegetarians? A cross-sectional ¹H-magnetic resonance spectroscopy (¹H-MRS) study. Br J Nutr. 2014 Apr 14;111(7):1272-4.
36) Benton D, Donohoe R. The influence of creatine supplementation on the cognitive functioning of vegetarians and omnivores. Br J Nutr. 2011 Apr;105(7):1100-5. doi: 10.1017/S0007114510004733. Epub 2010 Dec 1.
37) Burke DG, Candow DG, Chilibeck PD, MacNeil LG, Roy BD, Tarnopolsky MA, Ziegenfuss T. Effect of creatine supplementation and resistance-exercise training on muscle insulin-like growth factor in young adults. Int J Sport Nutr Exerc Metab. 2008 Aug;18(4):389-98.
38) Sakellaris G, Nasis G, Kotsiou M, Tamiolaki M, Charissis G, Evangeliou A. Prevention of traumatic headache, dizziness and fatigue with creatine administration. A pilot study. Acta Paediatr. 2008 Jan;97(1):31-4.
39) McMorris T, Mielcarz G, Harris RC, Swain JP, Howard A. Creatine supplementation and cognitive performance in elderly individuals. Neuropsychol Dev Cogn B Aging Neuropsychol Cogn. 2007 Sep;14(5):517-28.
40) Burke DG, Chilibeck PD, Parise G, Candow DG, Mahoney D, Tarnopolsky M. Effect of creatine and weight training on muscle creatine and performance in vegetarians. Med Sci Sports Exerc. 2003 Nov;35(11):1946-55.
41) Rae C, Digney AL, McEwan SR, Bates TC. Oral creatine monohydrate supplementation improves brain performance: a double-blind, placebo-controlled, cross-over trial. Proc Biol Sci. 2003 Oct 22;270(1529):2147-50.
42) Greenwood, M., Kreider, R. B., Earnest, C. P., Rasmussen, C., & Almada, A. L. (2003). Differences in creatine retention among three nutritional formulations of oral creatine supplements.
43) Gufford BT, Sriraghavan K, Miller NJ, Miller DW, Gu X, Vennerstrom JL, Robinson DH. Physicochemical characterization of creatine N-methylguanidinium salts. J Diet Suppl. 2010 Sep;7(3):240-52.
44) Spillane M, Schoch R, Cooke M, Harvey T, Greenwood M, Kreider R, Willoughby DS. The effects of creatine ethyl ester supplementation combined with heavy resistance training on body composition, muscle performance, and serum and muscle creatine levels. J Int Soc Sports Nutr. 2009 Feb 19;6:6.
45) Jäger R, Harris RC, Purpura M, Francaux M. Comparison of new forms of creatine in raising plasma creatine levels. J Int Soc Sports Nutr. 2007 Nov 12;4:17.
46) Tarnopolsky M, Zimmer A, Paikin J, Safdar A, Aboud A, Pearce E, Roy B, Doherty T. Creatine monohydrate and conjugated linoleic acid improve strength and body composition following resistance exercise in older adults. PLoS One. 2007 Oct 3;2(10):e991.
47) Yoshizumi WM, Tsourounis C. Effects of creatine supplementation on renal function. J Herb Pharmacother. 2004;4(1):1-7. Review.
48) Kim HJ, Kim CK, Carpentier A, Poortmans JR. Studies on the safety of creatine supplementation. Amino Acids. 2011 May;40(5):1409-18. doi: 10.1007/s00726-011-0878-2. Epub 2011 Mar 12. Review.
49) Pline KA, Smith CL. The effect of creatine intake on renal function. Ann Pharmacother. 2005 Jun;39(6):1093-6. Epub 2005 May 10. Review.
50) Bizzarini E, De Angelis L. Is the use of oral creatine supplementation safe? J Sports Med Phys Fitness. 2004 Dec;44(4):411-6. Review.
51) Schilling BK, Stone MH, Utter A, Kearney JT, Johnson M, Coglianese R, Smith L, O'Bryant HS, Fry AC, Starks M, Keith R, Stone ME. Creatine supplementation and health variables: a retrospective study. Med Sci Sports Exerc. 2001 Feb;33(2):183-8.
52) Poortmans JR, Francaux M. Adverse effects of creatine supplementation: fact or fiction? Sports Med. 2000 Sep;30(3):155-70. Review.
53) Antonio J, Ciccone V. The effects of pre versus post workout supplementation of creatine monohydrate on body composition and strength. J Int Soc Sports Nutr. 2013 Aug 6;10:36. doi: 10.1186/1550-2783-10-36. eCollection 2013.
54) Rathnayake D, Sinclair R. Male androgenetic alopecia. Expert Opin Pharmacother. 2010 Jun;11(8):1295-304. doi: 10.1517/14656561003752730. Review.
55) van der Merwe J, Brooks NE, Myburgh KH. Three weeks of creatine monohydrate supplementation affects dihydrotestosterone to testosterone ratio in college-aged rugby players. Clin J Sport Med. 2009 Sep;19(5):399-404.
56) Bang HJ, Yang YJ, Lho DS, Lee WY, Sim WY, Chung BC. Comparative studies on level of androgens in hair and plasma with premature male-pattern baldness. J Dermatol Sci. 2004 Feb;34(1):11-6.
57) Poortmans JR, Francaux M. Long-term oral creatine supplementation does not impair renal function in healthy athletes. Med Sci Sports Exerc. 1999 Aug;31(8):1108-10.
58) Moore TM, Mortensen XM, Ashby CK, Harris AM, Kump KJ, Laird DW, Adams AJ, Bray JK, Chen T, Thomson DM. The effect of caffeine on skeletal muscle anabolic signaling and hypertrophy. Appl Physiol Nutr Metab. 2017 Jun;42(6):621-629.
59) Candow DG, Vogt E, Johannsmeyer S, Forbes SC, Farthing JP. Strategic creatine supplementation and resistance training in healthy older adults. Appl Physiol Nutr Metab. 2015 Jul;40(7):689-94. doi: 10.1139/apnm-2014-0498.
60) Lee CL, Lin JC, Cheng CF. Effect of caffeine ingestion after creatine supplementation on intermittent high-intensity sprint performance. Eur J Appl Physiol. 2011 Aug;111(8):1669-77. doi: 10.1007/s00421-010-1792-0.
61) Doherty M, Smith PM, Davison RC, Hughes MG. Caffeine is ergogenic after supplementation of oral creatine monohydrate. Med Sci Sports Exerc. 2002 Nov;34(11):1785-92.
62) Vandenberghe K, Gillis N, Van Leemputte M, Van Hecke P, Vanstapel F, Hespel P. Caffeine counteracts the ergogenic action of muscle creatine loading. J Appl Physiol (1985). 1996 Feb;80(2):452-7.
63) Jerônimo DP, Germano MD, Fiorante FB, Boreli L, Neto LVS, Souza RA, Silva FF, Morais AC. Caffeine Potentiates the Ergogenic Effects of Creatine. JEPonline 2017;20(6):66-77
64) Trexler ET, Smith-Ryan AE. Creatine and Caffeine: Considerations for Concurrent Supplementation. Int J Sport Nutr Exerc Metab. 2015 Dec;25(6):607-23. Review.